Lompat ke konten Lompat ke sidebar Lompat ke footer

Kalimat Penutup Surat Lamaran Kerja Yang Benar Adalah

11 Contoh Kalimat Penutup Surat Lamaran Kerja Yang Baik Berkas Surat

Benar Adalah Benar Adalah A Kepada Yth Direktur Pt Rikza Jalan Dr Saharjo 40 Jakarta B Yth Direktur Pt Jalan Dr Saharjo 40 Jakarta C Yth Direktur Pt Course Hero

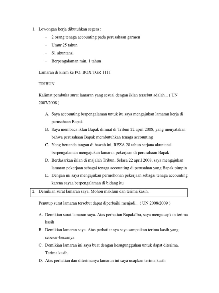
Soal Un Sma Bi Surat

11 Contoh Surat Lamaran Kerja Yang Baik Dan Benar 2020

Contoh Kalimat Pembuka Surat Lamaran Kerja Yang Baik Tips Kerja

30 Contoh Surat Lamaran Kerja Yang Benar B Inggris Spg Alfamart

Ulangan Harian Surat Lamaran

Doc Surat Lamaran Pekerjaan Jefri Winter Academia Edu

Contoh Surat Lamaran Kerja Dan Tips Pembuatannya

Cara Jitu Membuat Surat Lamaran Kerja

50 Contoh Surat Lamaran Kerja Dengan Penulisan Yang Baik Dan Benar Terbaru Balubu

Kalimat Penutup Surat Undangan Resmi Yang Tepat Adalah Brainly Co Id

Membuat Kalimat Penutup Surat Lamaran Kerja Yang Tepat

50 Contoh Surat Lamaran Kerja Dengan Penulisan Yang Baik Dan Benar Terbaru Balubu

Surat Lamaran Kerja Cara Menulis Yang Baik Benar Beserta Contoh Bangmaul Com


Posting Komentar untuk "Kalimat Penutup Surat Lamaran Kerja Yang Benar Adalah"