Lompat ke konten Lompat ke sidebar Lompat ke footer

Contoh Portofolio Pendidikan

Panduan Penyusunan Portofolio Guru Komersial Tanpa Izin Tertulis Dari Departemen Contoh Sampul Cover Halaman Judul Mengajar Ini Berupa Surat Keputusan Surat Tugas Pdf Document

Contoh Portofolio Siswa Berprestasi Suara Pendidikan Kota Batam

Pdf Implementasi Model Pembelajaran Sejarah Berbasis Portofolio Pada Siswa Kelas Viii Smp Negeri 2 Jati Kudus

Doc Contoh Asesmen Portofolio Irnanda Susanti Academia Edu

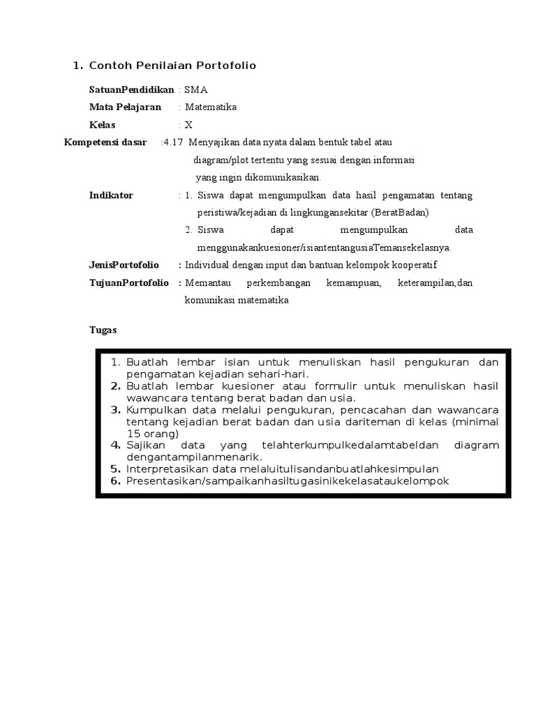
Contoh Penilaian Portofolio Matematika Sma

Contoh Portofolio Pengertian Cara Membuat Portofolio Dosenpintar

Portofolio Adalah 8 Fungsi Dan Contoh Portofolio

Contoh Portofolio Lengkap Pengertian Dan Cara Membuat Portofolio Terbaik

Portofolio Pendidikan Agama Islam

Format Penilaian Portofolio Ktsp Sd Kelas 3 Sem 1

Contoh Penilaian Portofolio Matematika Sma

Model Pembelajaran Berbasis Portofolio

Www Divapendidikan Com Lembar Penilaian Keterampilan Penilaian Portofolio Tugas Smp Pendidikan Bahasa

Contoh Tugas Portofolio Ekonomi Kelas 12 Guru Ilmu Sosial

Popo E Portofolio Jejaring Informasi Pembelajaran Online


Posting Komentar untuk "Contoh Portofolio Pendidikan"