Struktur Surat Lamaran Pekerjaan Materi Kelas 12
Surat lamaran kerja adalah surat yang dibuat oleh seseorang untuk melamar pekerjaan di suatu perusahaan kantor atau instansi tertentu. Pengertian struktur lampiran unsur contoh dan ciri kebahasaan lamaran pekerjaan.
Kelas Xii M1 Kb 1 Teks Surat Lamaran Pekerjaan
Pengertian surat lamaran pekerjaan jenis unsur dan syarat adalah surat dari seseorang yang membutuhkan pekerjaan kepada pejabat yang bisa memberikan pekerjaan.
Struktur surat lamaran pekerjaan materi kelas 12. Pengertian cara syarat fungsi surat lamaran pekerjaan adalah surat dari seseorang yang membutuhkan pekerjaan kepada orang yang bisa mem. Sebagai tanda tertulis resmi pengajuan permohonan pekerjaan. Terkadang surat lamaran kerja tersebut disertai dengan surat riwayat.
Oleh pengajarku diposting pada juni 14 2020. Fungsi surat lamaran pekerjaan. Pengertian surat lamaran kerja surat lamaran pekerjaan adalah surat dari seseorang yang membutuhkan pekerjaan kepada orang artikel terbaru.
Secara garis besar surat lamaran kerja terbagi menjadi dua macam yaitu surat lamaran kerja berdasarkan iklan dan surat lamaran kerja berdasarkan inisiatif sendiri. Yang satu ini merupakan fungsi utama dari surat lamaran kerja karena dengan hadirnya surat lamaran kerja berarti permohonan tersebut sifatnya resmi dan tentu akan langsung diterima sebagai permohonan dan pertimbangan dalam menerima pelamar tersebut. Pengertian surat lamaran pekerjaan surat lamaran pekerjaan adalah surat dari seseorang yang memerlukan pekerjaan kepada orang atau pejabat yang dapat memberikan pekerjaan atau jabatan.
Sistematika surat lamaran. Surat lamaran kerja termasuk kedalam golongan surat resmi atau dinas sehingga dalam penulisannya. Bab 1 membuat surat lamaran pekerjaan a.
Materi bahasa indonesia kelas 12 kurikulum 2013 revisi 2018 bagi sahabat buku paket yang ingin download materi pelajaran bahasa indonesia kelas 12 kurikulum 2013 revisi 2018 secara lengkap silahkan pilih materi yang ingin di download id bawah ini. Job application atau surat lamaran pekerjaan adalah surat yang menunjukan ketertarikan dan keinginan kita terhadap sebuah posisi atau pekerjaan di sebuah perusahaan. Ciri kebahasaan lamaran pekerjaan surat lamaran kerja merupakan surat yang dibuat dengan panjang satu halaman penuh dan isinya mengenai informasi pelamar kerja serta permohonan guna menempati pada posisi tertetu.
Berikut penjelasan lengkap application letter fungsi bagian bagian serta contoh application letter yang baik. Mengidentifikasi isi dan sistematika surat lamaran pekerjaan. Surat lamaran kerjaadalah surat yang dibuat oleh seseorang untuk melamar pekerjaan di suatu perusahaan kantor atau instansi tertentu.
Materi surat lamaran pekerjaan kelas 12 ppt surat lamaran kerja. Materi surat lamaran pekerjaan kelas 12 ppt materi surat lamaran pekerjaan kelas xii sistematika surat lamaran pekerjaan struktur surat lamaran pekerjaan surat lamaran kerja. Surat lamaran kerja merupakan surat yang digunakan untuk melamar pekerjaan.
Kualifikasi pelamar pekerjaan materi surat lamaran pekerjaan kelas xii melamar kerja dengan surat keterangan lulus melamar kerja tanpa skck. Hal yang diperlukan dalam sebuah surat lamaran pekerjaan adalah hal hal yang harus dihindari dalam penulisan surat lamaran pekerjaan sebagai berikut berikut fungsi perihal dalam surat lamaran pekerjaan kecuali bagian isi surat balasan lamaran pekerjaan yang berisi penolakan secara jelas dan benar adalah bagian kalimat surat yang menyatakan kualifikasi adalah penulisan alamat surat yang.
Materi Kelas Xii Surat Lamaran Pekerjaan
Materi Bahasa Indonesia Kelas 12 Kurikulum 2013 Revisi 2018
Materi Kelas Xii Surat Lamaran Pekerjaan
Materi Application Letter Fungsi Bagian Bagian Dan Contohnya Dimensi Bahasa Inggris
Contoh Rpp Offering Help Sma Kelas Xii
Rpp Kurikulum 2013 Revisi Bahasa Indonesia Wajib Kelas Xii Sma
Materi Surat Lamaran Pekerjaan
Menyusun Surat Lamaran Pekerjaan Dengan Memperhatikan Isi Sistematika Dan Kebahasaan Zuhri Indonesia
Tesis Argumentasi Penegasan Surat Lamaran Kerja Brainly Co Id
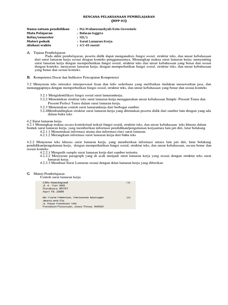
Rencana Pelaksanaan Pembelajaran 3 2 Dan 4 2docx
Modul Surat Lamaran Pekerjaan Mapel Bahasa Indonesia Xii Sma Nasima Pages 1 14 Text Version Fliphtml5
Pengertian Surat Lamaran Pekerjaan Jenis Unsur Dan Contoh
Rpp Bahasa Indonesia Kelas 12 Kurikulum 2013 Revisi 2018 Websiteedukasi Com

Posting Komentar untuk "Struktur Surat Lamaran Pekerjaan Materi Kelas 12"