Lompat ke konten Lompat ke sidebar Lompat ke footer

Struktur Surat Lamaran Pekerjaan Dan Fungsinya

Pengertian Surat Lamaran Pekerjaan Jenis Unsur Dan Contoh

Tulislah Hasil Analisis Terhadap Unsur Unsur Kebahasaan Surat Lamaran Pekerjaan Dalam Format Tabel Brainly Co Id

Download 25 Contoh Surat Lamaran Kerja Yang Benar

Contoh Surat Lamaran Yang Baik 8 Tips Cara Membuatnya Ngaryawan

15 Contoh Surat Lamaran Kerja Di Toko Yang Baik Dan Benar

Download 25 Contoh Surat Lamaran Kerja Yang Benar

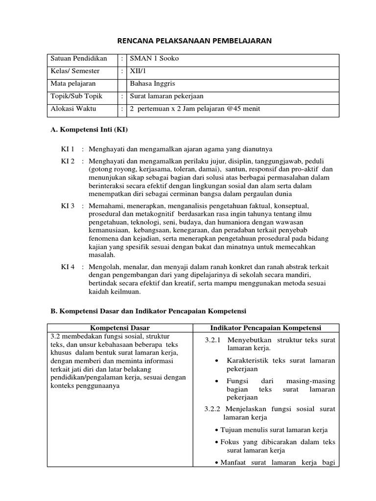
Format Rpp

Download 25 Contoh Surat Lamaran Kerja Yang Benar

Contoh Surat Lamaran Kerja Yang Baik Dan Benar Terlengkap

Struktur Surat Lamaran Kerja Yang Baik Dan Benar

Berbagai Struktur Penting

17 Contoh Surat Lamaran Kerja Yang Benar Simple Dan Terbaru Lengkap Kudupinter

Application Letter

Contoh Surat Lamaran Kerja Tulis Tangan Dan Ketik Komputer

Unsur Dan Struktur Surat Lamaran Pekerjaan


Posting Komentar untuk "Struktur Surat Lamaran Pekerjaan Dan Fungsinya"